Essay Prakarya Kelas 7
Untuk soal ujian prakarya kelas 7 semester 1 ini belum dilengkapi beserta kunci jawaban. Berikut di bawah ini soal prakarya kelas 7 semester ganjil kurtilas dilengkapi kunci jawaban dengan pertanyaan dimulai dari soal nomor 1.

Soal Uts Matematika Kelas 7 Smp Semester 1 Dan Kunci Jawaban Pts Pilihan Ganda Tribunpontianak Co Id
Mungkin artikel ini dapat menjadi referensi sobat untuk belajar memecahkan berbagai soal mengenai mata pelajaran Prakarya yang khususnya kelas 7.

Essay prakarya kelas 7. Kumpulan soal dan jawaban materi budidaya tanaman hias. SOAL DAN KUNCI JAWABAN UTSPTS PRAKARYA KELAS 7 SEMESTER 1 DAN SEMESTER 2 BENTUK ESSAY. Serat sutra dimanfaatkan oleh manusia sehingga menjadi benang yang berasal dari.
Sebutkan 5 hasil kerajinan dari bahan limbah lunak anorganik. Untuk artikel ini akan membahas berbagai kumpulan Soal Prakarya Kelas 7. Untuk pembahasan terlengkapnya bisa sobat simak berikut dibawah ini.
40 Contoh Soal Prakarya. Memindahkan dan menyimpan barang-barang termasuk dalam sistem distribusi. Berikut di bawah ini soal-soal Penilaian Tengah Semester dalam bentuk Pilihan Ganda dan Soal Essay uraian.
Lihat Juga. Soal essay uts prakarya kelas 7 semester 2. Prediksi Soal Kunci Jawaban UTS PTS PAI Kelas 7 Semester 1 Terbaru.
Tentunya berbeda dengan 20 contoh soal PG b. Contoh soal pg prakarya kelas xi semester 2 k13 beserta jawaban. Aug 29 2020 Kali ini penulis akan membagikan soal prakarya kelas 7 semester 1 kurikulum 2013 untuk dapat kalian pelajari untuk menghadapi ujian nanti.
60 Contoh Soal Essay Prakarya Kelas 11 SMAMA dan Kunci Jawabnya Terbaru Halo adik adik yang baik hati pada kesempatan kali ini kakak ingin berbagi soal Prakarya sekitar 60 soal untuk dijadikan sebagai bahan latihan Ujian Akhir Sekolah atau. Contoh Soal Essay Prakarya Kelas 7 Semester 1 Beserta Jawaban Kurikulum 2013 SMPMTSBagian2 Halo selamat datang kembali di blog soal-soal sekolah postingan soal essay prakarya kelas vii semester ganjil K13 bagian ke-2 ini merupakan lanjutan soal essay prakarya bagian ke-1 soal nomor 1-10 dengan materi yang sama yaitu soal tentang Kerajinan. Contoh soal prakarya kelas 7 semester 1 dan 2 kurikulum 2013 dikesempatan kali ini yuksinaucoid akan membahas materi contoh soal prakarya kelas 7 kurikulum 2013 pilihan ganda pg beserta jawabannya.
Detail Soal Uts Prakarya Kelas 7. Untuk yang ingin mendapatkan file soal prakarya kisi kisi soal prakarya beserta kunci jawabannya silahkan download filenya disini di bagian akhir contoh soal ini. Jenis dan Karakteristik Bahan Limbah Lunak C.
Sebutkan cara yang benar ketika akan melakukan pewarnaan pada kulit jagung untuk membuat kerajinan. Contoh Soal Essay Prakarya Kelas 7 Semester 1 Beserta Jawaban Kurikulum 2013 SMPMTSBagian4 - Halo selamat datang kembali di blog soal-soal sekolah soal essaiuraian prakarya kelas vii semester ganjil bagian ke-4 postingan ini berisikan materi yang berbeda dengan soal essay prakarya bagian ke-1 sampai dengan bagian ke-3 soal nomor 26-35 karena mulai bagian keempat berisikan materi soal. Essay lengkap dengan jawabannya.
Soal Prakarya Kelas 7 Semester 1 Kurikulum 2013 Essay Dan Jawabannya. Soal Prakarya Kelas 8. Lmu adalah pengetahuan yang telah disusun secara sistematis dan berlaku umum sedangkan pengetahuan adalah pengalaman yang bersifat pribadikelompok dan belum disusun secara sistematis karena belum dicoba dan diuji.
Kelebihan dari produk fillet ikan adalah sebagaiberikut kecuali a. Baca juga materi yang sama dalam bentuk essaiuraian. Soal essay uts prakarya kelas 7 semester 2.
Pada saat akan membuat sehelai kain batik diberi motif BOKONG SEMAR sebutkan alat dan teknik yang digunakan untuk mengerjakan batik. Karena biasanya soal ujian prakarya kelas 7 semester 1 yang akan diujikan tidak jauh berbeda dengan soal tahun sebelumnya. SOAL PILIHAN GANDA Pilihlah salah satu jawaban yang benar pada salah satu jawaban A B C atau D.
Sebutkan 4 jenis wadah yang baik untuk menyajikan makanan. Contoh Soal Prakarya Kelas 7 Halo sobat quoracoid kembali penulis akan membagikan artikel bermanfaat yang kali ini akan mengupas tentang Contoh Soal Prakarya Kelas 7. Peran angkutan multimoda makin penting dengan adanya agenda.
Serat sutra dimanfaatkan oleh 5. 40 Contoh Soal Prakarya Berikut di bawah ini soal prakarya kelas 7 semester ganjil kurtilas dilengkapi kunci jawaban dengan pertanyaan dimulai dari soal nomor 1. Dapat diolah lebih lanjut menjadi berbagai produk.
Rami dan flax merupakan serat hasil dari a. Contoh Soal Essay Prakarya Kelas 7 Semester 1 Beserta Jawaban Kurikulum 2013 SMPMTSBagian2 Halo selamat datang kembali di blog soal-soal sekolah postingan soal essay prakarya kelas vii semester ganjil K13 bagian ke-2 ini merupakan lanjutan soal essay prakarya bagian ke-1 soal nomor 1-10 dengan materi yang sama yaitu soal tentang Kerajinan. Kunci jawaban prakarya kelas 7 kurikulum 2013 Share.
Latihan Soal PAT Prakarya Kelas 7 SMP Tahun 2021Sudah tak terasa kita sudah masuk ke akhir semester genap. Kumpulan Link Download Aplikasi Edit Video Android Premium Gratis 2019. Oleh admin Diposting pada 7 Maret 2021.
Soal latihan Prakarya SMP Kelas 7 PG dan Essay Beserta Jawabannya Lengkap. Soal prakarya essay kelas 7 bab 1 kerajinan dari bahan serat alam. Soal Prakarya Kelas 7 Semester 2 Dan Kunci Jawaban Temukan Jawab.
Soal uts prakarya kelas 9 semester 1 dan kunci jawaban. Jelaskan karakteristik serat alam dari hewan misalnya SUTRA. Melanjutkan Contoh Soal Essay Prakarya dan Kewirausahaan Kelas X Semester 1 Kurikulum 2013 bagian ke-6 soal nomor 71-100 essai bagian ketujuh Prakarya dan KWU bagian ke-7 dimulai dari soal nomor 101.
Dalam konteks akademis atau profesional ujian atau. SOAL PTS PRAKARYA KELAS 7 TERBARU Ade Halawi Selasa September 07 2021 SOAL PENILAIAN TENGAH SEMESTER PRAKARYA KELAS 7. Soal Prakarya Kelas 7.
20210323 Contoh soal ujian teori teknik instalasi tenaga listrik. Contoh Soal UTS Prakarya Kelas 7 Semester 1 Kurikulum 2013 K13 Kurtilas ini kami bagikan untuk Guru Menyusun Kisi-kisi Membuat soal Evalusi dan Siswa Soal Latihan PG Essay supaya nanti pada saat dilaksanakan ulangan tengah semester bisa dengan mudah menjawabnya. 60 contoh soal essay prakarya kelas 11 smama dan kunci jawabnya terbaru halo adik adik yang baik hati pada kesempatan kali ini kakak ingin berbagi.
20201002 Soal essay prakarya tentang budidaya tanaman sayuran dimulai dari pertanyaan nomor 11 berikut dibawah ini soal pilihan ganda prakaraya dan kunci jawaban untuk siswa kelas 7 semester ganjil kurtilas edisi revisi. Kerajinan tekstil tradisional selain sebagai hiasan juga berfungsi melambangkan hal tertentu yang berkaitan dengan nilai. 20210323 Makalah materi soal bahasa view soal uts pts prakarya kelas vii smp mts ganjil 2020 2021 2022 pictures.
Ikan merupakan jenis makanan sehat yang rendah lemak jenuh tinggi protein dan merupakan sumber penting asam lemak. Serat sutra dimanfaatkan oleh. Contoh Soal Essay Prakarya Kelas 7 Semester 1 Beserta Jawaban Kurikulum 2013 SMPMTS 10.
20210220 Soal PTS UTS Prakarya semester 2 Kelas 7 SMP MTs Kurikulum 2013 ini dibagikan untuk membantu belajar peserta didik Kelas 7 SMPMTs dalam mempersiapkan diri menghadapi Penilaian Tengah Semester PTS 2. Kali ini penulis akan membagikan contoh soal prakarya kelas 7 bab 1 untuk dapat kalian pelajari untuk menghadapi ujian nanti. Soal essay prakarya kelas 7 semester 2 bab limbah lunak.

Tolong Tuliskan 10 Contoh Soal Essay Prakarya Kelas 7 Brainly Co Id

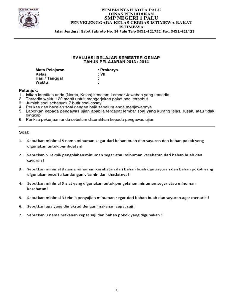
Soal Essay Prakarya Kelas 7 Semester 1 Pigura

Soal Penilaian Tengah Semester Pts 1 Bahasa Indonesia Kelas 7 K13
50 Soal Dan Jawaban Uts Pts Prakarya Kelas 7 Semester 1 2 Kherysuryawan Id

Kunci Jawaban Bahasa Indonesia Kelas 7 Halaman 19 Latihan 2 1 Wali Kelas Sd

Ulangan Sbk Kelas 5 Semester 2 Www Mautidakmauharusmau Blogspot Com Office Word Microsoft Office Word Malay Language

Materi Prakarya Kelas 7 Kerajinan Bab 1 Kerajinan Limbah Lunak Wirahadie Com

Pilihlah Jawaban Yang Paling Benar 1 Teknik Aplikasi Imbuh Dengan Menyatukan Potongan Potongan Kain Dengan Pola Tertentu Aplikasi Teknik Tanggal
Soal Lcc Prakarya Kelas 7 2018 Essay Beserta Jawaban Pdf

Soal Prakarya Kelas 7 Semester 2 Kisi Kisi Pat Prakarya Smp Kelas 7 Kurikulum 2013 Didno76 Com Tanpa Terasa Perjalanan Dalam Dunia Pendidikan Mau Menginjak Kepada Penilaian Akhir Semester Pas

Download Gratis Rpp Kurikulum 2013 Sma Prakarya Dan Kewirausahaan Format Microsoft Word Gratis Update Terbaru Tahun 2016 Kurikulum Pendidikan Matematika Sma
Kunci Jawaban Matematika Kelas 7 Halaman 116 Ayo Kita Berlatih 2 1 Bab 2 Ilmu Edukasi
80 Soal Dan Jawaban Prakarya Kelas 7 Terbaru Kherysuryawan Id
Posting Komentar untuk "Essay Prakarya Kelas 7"